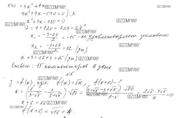
Решебник №1

контрольная работа / итоговая контрольная работа. вариант / 1

Решебник №2

контрольная работа / итоговая контрольная работа. вариант / 1

Решебник №3

контрольная работа / итоговая контрольная работа. вариант / 1

Здесь готовые ответы по Алгебре за 8 (восьмой) класс от Александрова Контрольные работы УМК Базовый уровень (издательство: Мнемозина от 2016 г.) № 1 Базовый уровень