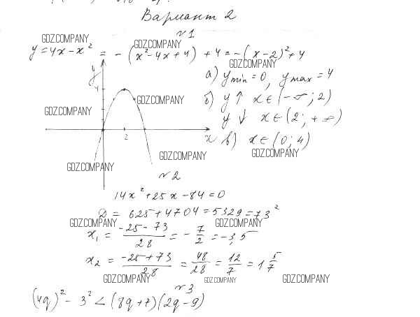
Решебник №1

контрольная работа / итоговая контрольная работа. вариант / 2

Решебник №2

контрольная работа / итоговая контрольная работа. вариант / 2

Решебник №3

контрольная работа / итоговая контрольная работа. вариант / 2

Здесь готовые ответы по Алгебре за 8 (восьмой) класс от Александрова Контрольные работы УМК Базовый уровень (издательство: Мнемозина от 2016 г.) № 2 Базовый уровень