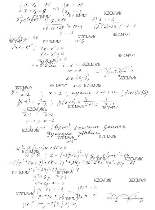
Решебник №1

контрольная работа / кр-8. вариант / 4

Решебник №2

контрольная работа / кр-8. вариант / 4

Здесь готовые ответы по Алгебре за 8 (восьмой) класс от Александрова Контрольные работы УМК Базовый уровень (издательство: Мнемозина от 2016 г.) № 4 Базовый уровень