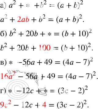
Условия
глава 7 / § 33 / 49

Решебник №1
глава 7 / § 33 / 49

Решебник №2
глава 7 / § 33 / 49

Решебник №3
глава 7 / § 33 / 49

Здесь готовые ответы по Алгебре за 7 (седьмой) класс от Мордкович, Александрова, Мишустина, Тульчинская Задачник Базовый уровень (издательство: Мнемозина от 2013 г.) № 49 Базовый уровень