Условия
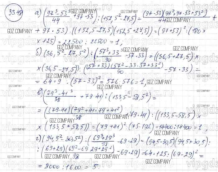
глава 7 / § 33 / 48

Решебник №1
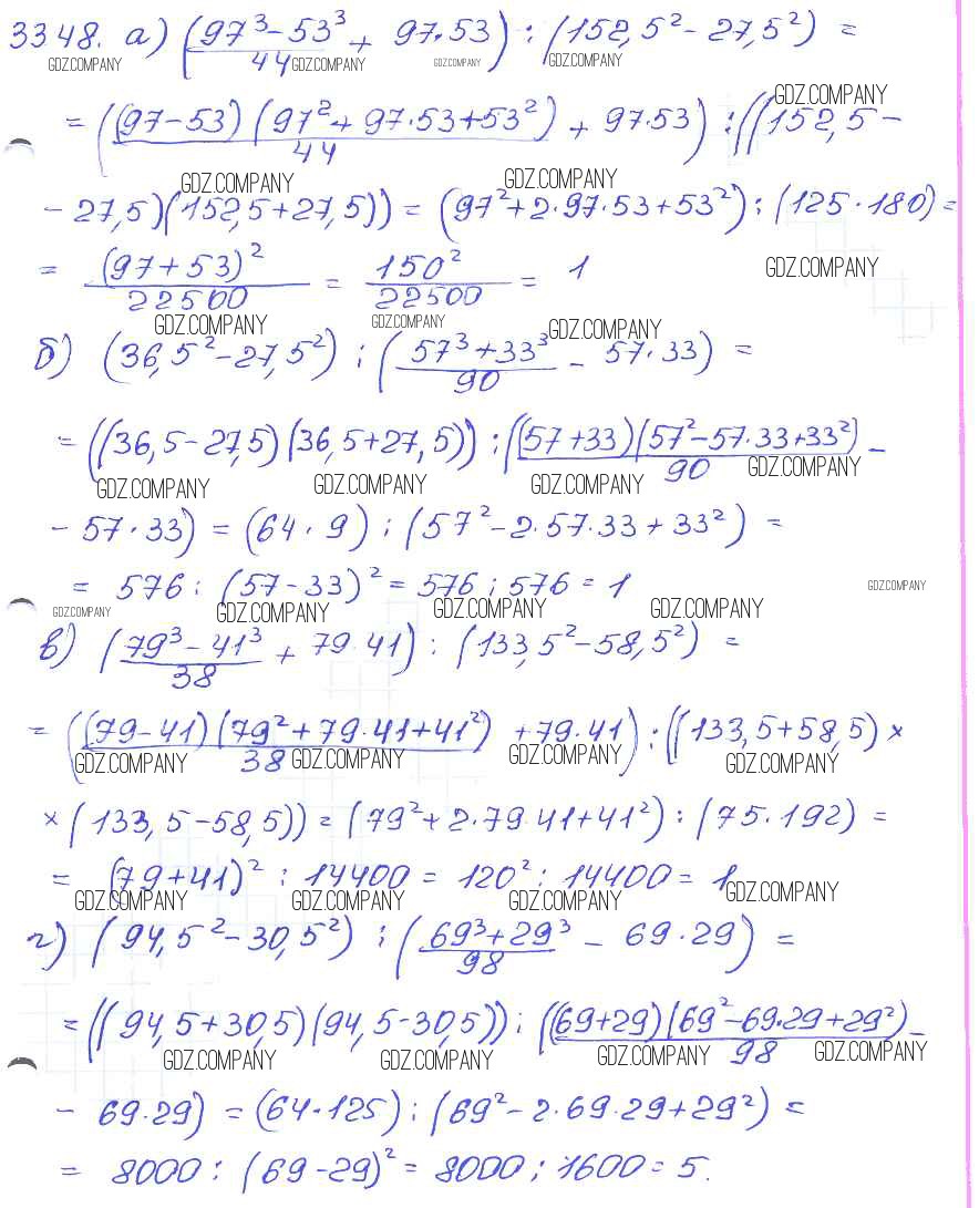
глава 7 / § 33 / 48

Решебник №2
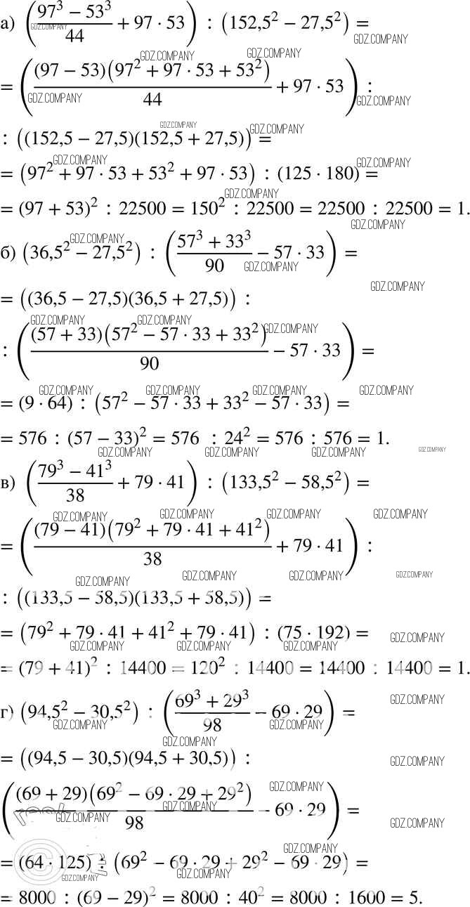
глава 7 / § 33 / 48

Решебник №3
глава 7 / § 33 / 48

Здесь готовые ответы по Алгебре за 7 (седьмой) класс от Мордкович, Александрова, Мишустина, Тульчинская Задачник Базовый уровень (издательство: Мнемозина от 2013 г.) № 48 Базовый уровень