Условия
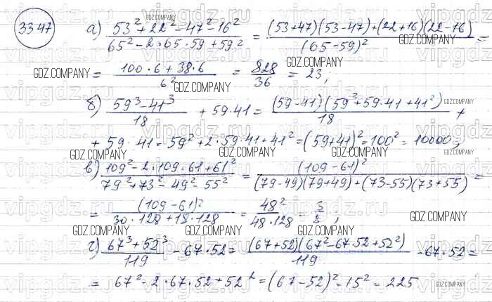
глава 7 / § 33 / 47

Решебник №1
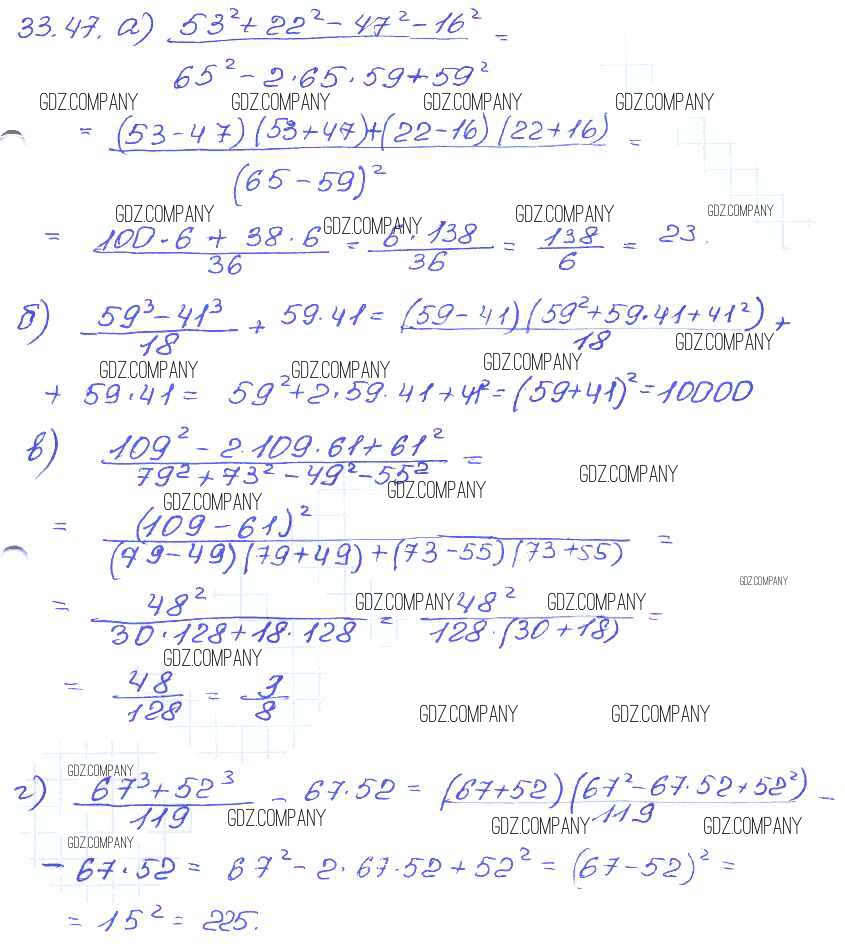
глава 7 / § 33 / 47


Решебник №2
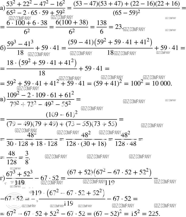
глава 7 / § 33 / 47

Решебник №3
глава 7 / § 33 / 47

Здесь готовые ответы по Алгебре за 7 (седьмой) класс от Мордкович, Александрова, Мишустина, Тульчинская Задачник Базовый уровень (издательство: Мнемозина от 2013 г.) № 47 Базовый уровень