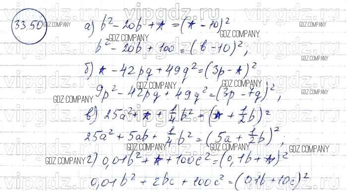
Условия
глава 7 / § 33 / 50

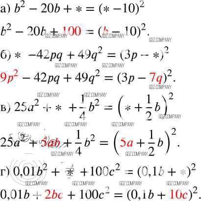
Решебник №1
глава 7 / § 33 / 50

Решебник №2
глава 7 / § 33 / 50

Решебник №3
глава 7 / § 33 / 50

Здесь готовые ответы по Алгебре за 7 (седьмой) класс от Мордкович, Александрова, Мишустина, Тульчинская Задачник Базовый уровень (издательство: Мнемозина от 2013 г.) № 50 Базовый уровень