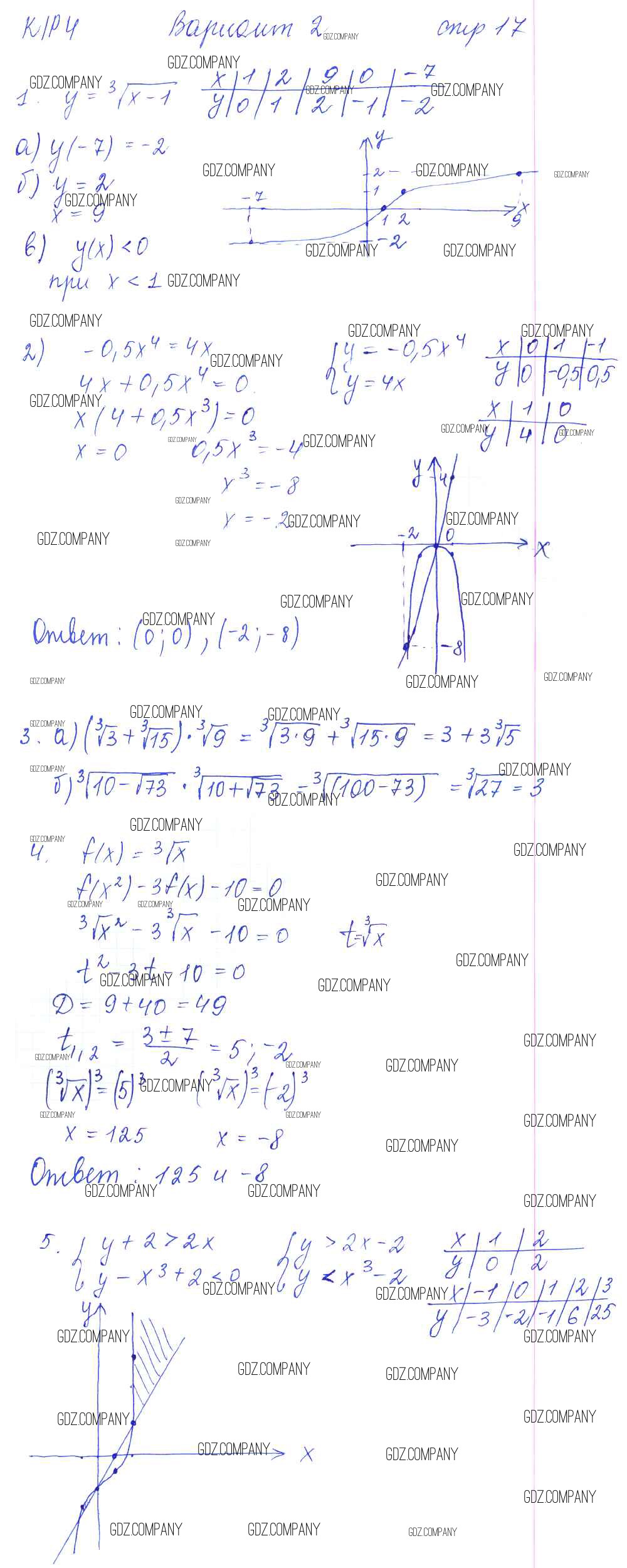
Решебник №1
кр-4 / вариант №2


Решебник №2
кр-4 / вариант №2

Решебник №3
кр-4 / вариант №2

Здесь готовые ответы по Алгебре за 9 (девятый) класс от Александрова Контрольные работы Базовый уровень (издательство: Мнемозина от 2016 г.) № вариант №2 Базовый уровень