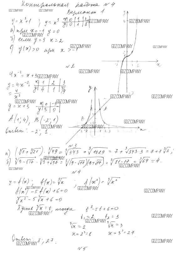
Решебник №1
кр-4 / вариант №1


Решебник №2
кр-4 / вариант №1

Решебник №3
кр-4 / вариант №1

Здесь готовые ответы по Алгебре за 9 (девятый) класс от Александрова Контрольные работы Базовый уровень (издательство: Мнемозина от 2016 г.) № вариант №1 Базовый уровень