Решебник №1
старое издание / задачи к §55-59 / задача №5
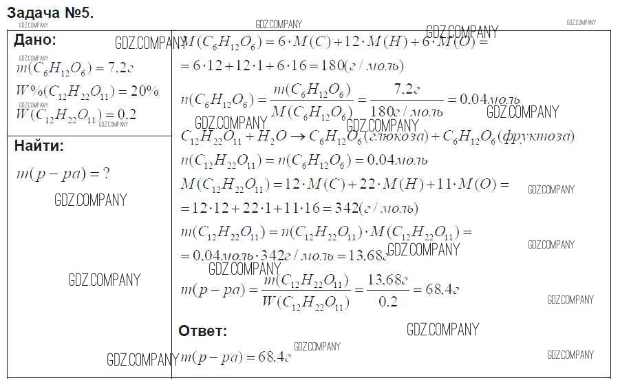
Здесь готовые ответы по Химии за 9 (девятый) класс от Рудзитис, Фельдман Учебник УМК (издательство: Просвещение от 2016 г.) № задача №5