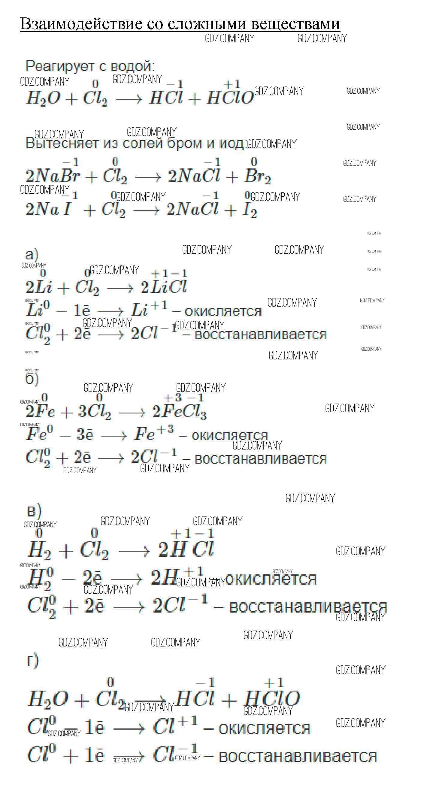
Решебник №1

новое издание / § 13. Хлор / 2

Решебник №2

новое издание / § 13. Хлор / 2

Решебник №3

новое издание / § 13. Хлор / 2

Здесь готовые ответы по Химии за 9 (девятый) класс от Рудзитис, Фельдман Учебник УМК (издательство: Просвещение от 2016 г.) № 2