Решебник
практическая работа / 7
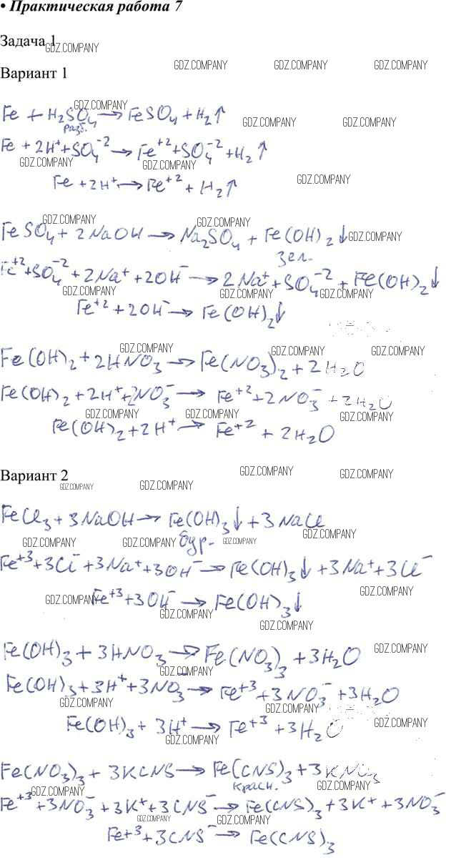
Здесь готовые ответы по Химии за 9 (девятый) класс от Кузнецова, Титова, Гара Учебник Алгоритм успеха (издательство: Вентана-граф от 2019 г.) № 7