Решебник
§8 / вопрос / 1
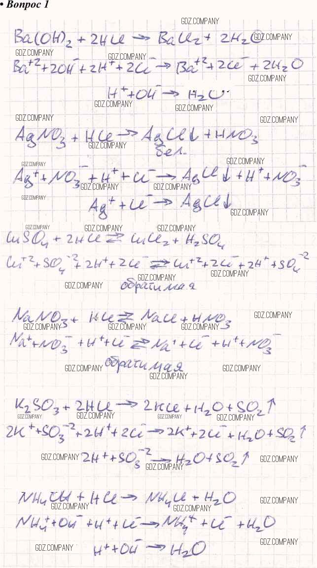
Здесь готовые ответы по Химии за 9 (девятый) класс от Кузнецова, Титова, Гара Учебник Алгоритм успеха (издательство: Вентана-граф от 2019 г.) № 1