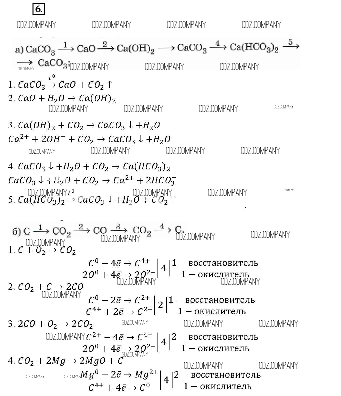
Решебник №1
§34 / 6
Решебник №2
§34 / 6
Решебник №3
§34 / 6
Здесь готовые ответы по Химии за 9 (девятый) класс от Габриелян Учебник Вертикаль (издательство: Дрофа от 2014 г.) № 6