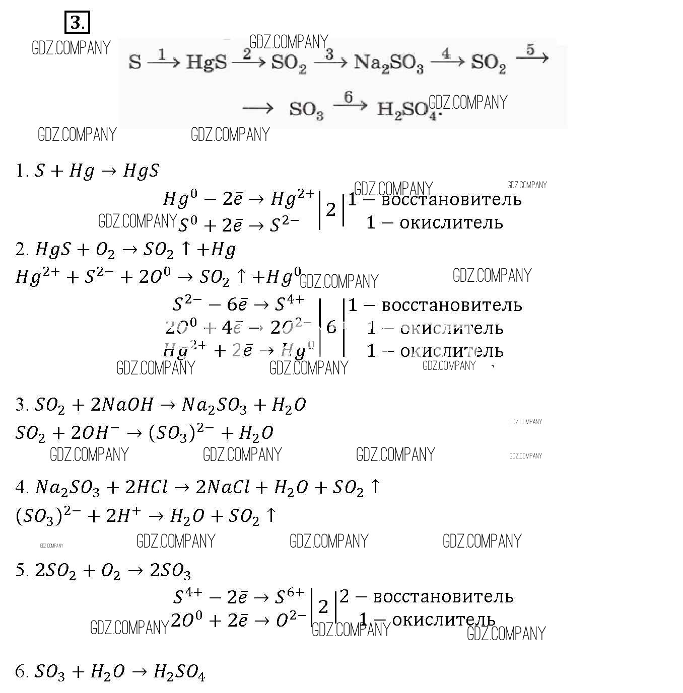
Решебник №1
§26 / 3
Решебник №2
§26 / 3
Решебник №3
§26 / 3
Здесь готовые ответы по Химии за 9 (девятый) класс от Габриелян Учебник Вертикаль (издательство: Дрофа от 2014 г.) № 3