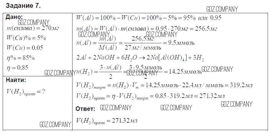
Решебник №1
§16 / 7
Решебник №2
§16 / 7
Решебник №3
§16 / 7
Здесь готовые ответы по Химии за 9 (девятый) класс от Габриелян Учебник Вертикаль (издательство: Дрофа от 2014 г.) № 7