Решебник №1
§14 / 2
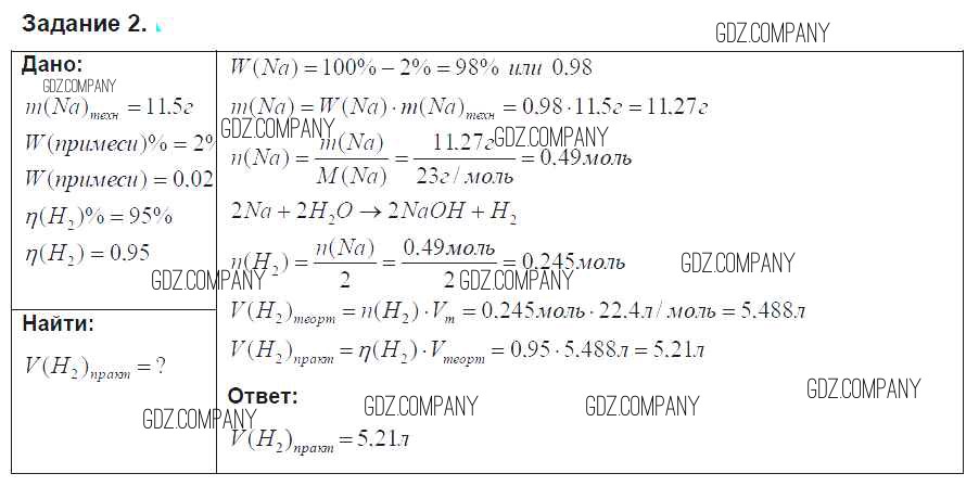
Решебник №2
§14 / 2
Решебник №3
§14 / 2
Здесь готовые ответы по Химии за 9 (девятый) класс от Габриелян Учебник Вертикаль (издательство: Дрофа от 2014 г.) № 2