Решебник 1

практические работы / 1

Решебник 2

практические работы / 1

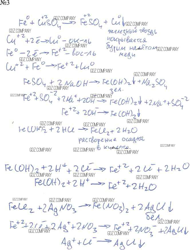
Здесь готовые ответы по Химии за 9 (девятый) класс от Габриелян, Остроумов, Сладков Учебник (издательство: Просвещение от 2021 г.) № 1