Решебник 1
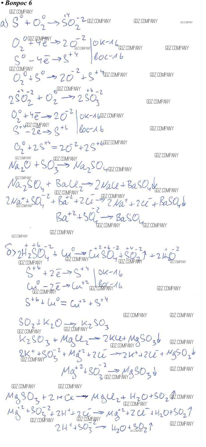
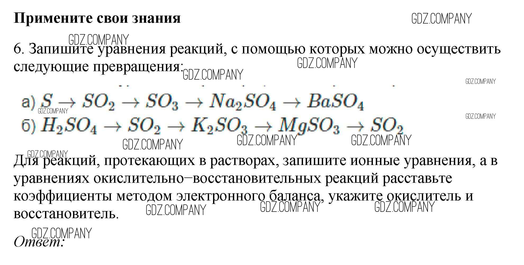
§15 / 6
Решебник 2
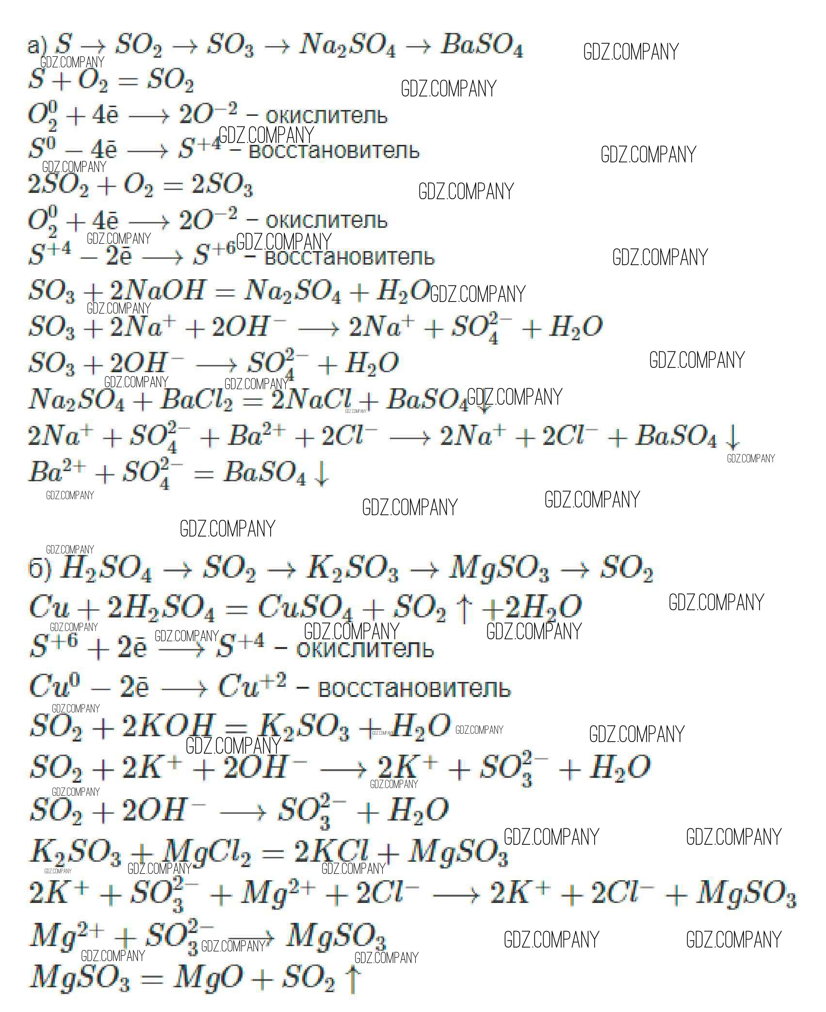
§15 / 6
Здесь готовые ответы по Химии за 9 (девятый) класс от Габриелян, Остроумов, Сладков Учебник (издательство: Просвещение от 2021 г.) № 6