Решебник
готовимся к контрольной работе к параграфу 8 / 2
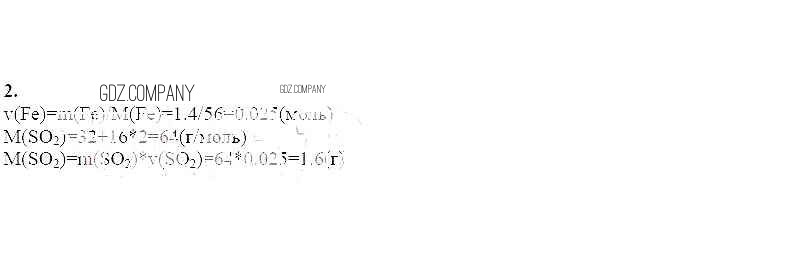
Здесь готовые ответы по Химии за 9 (девятый) класс от Еремин, Дроздов, Шипарева Рабочая тетрадь (издательство: Дрофа от 2020 г.) № 2