Решебник
контрольные работы / к учебнику Погорелова / кр-1. вариант / 4

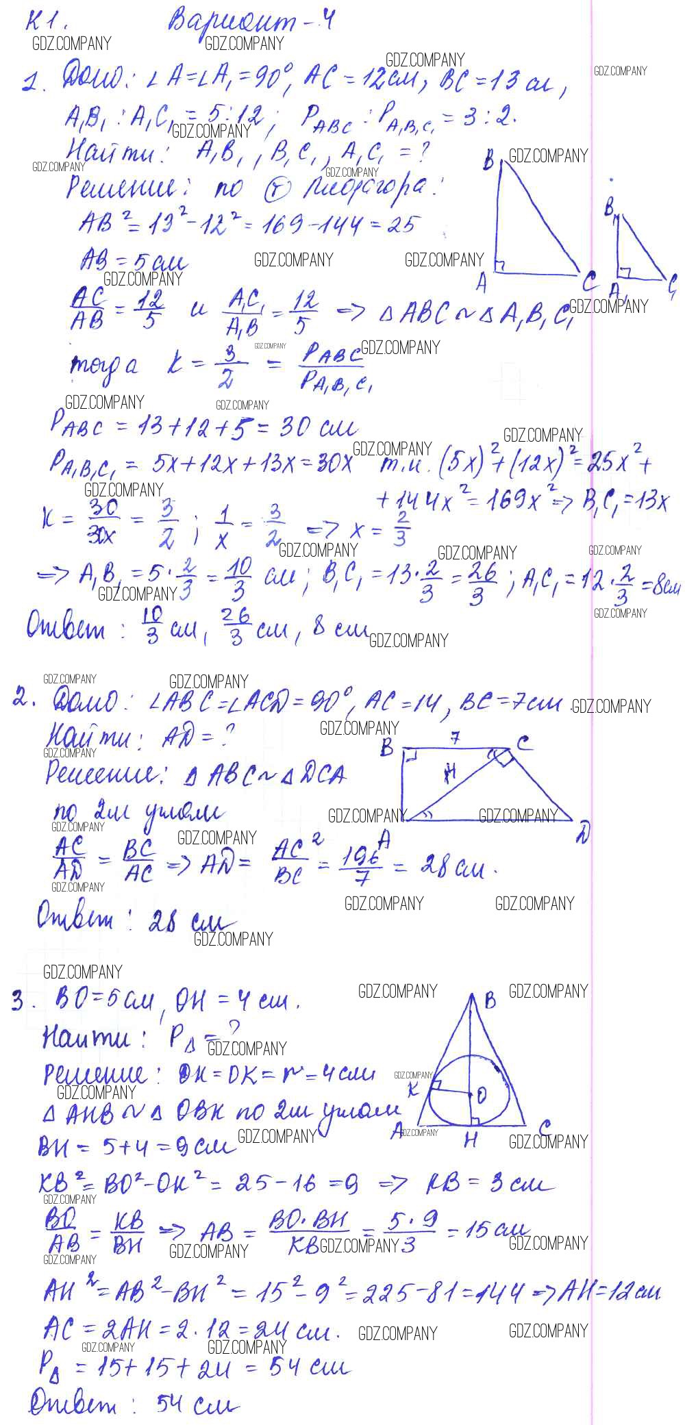
Здесь готовые ответы по Геометрии за 9 (девятый) класс от Журавлев, Малышева, Свентковский Контрольные и самостоятельные работы УМК (издательство: Экзамен от 2016 г.) № 4