Решебник
контрольные работы / к учебнику Атанасяна / кр-1. вариант / 3

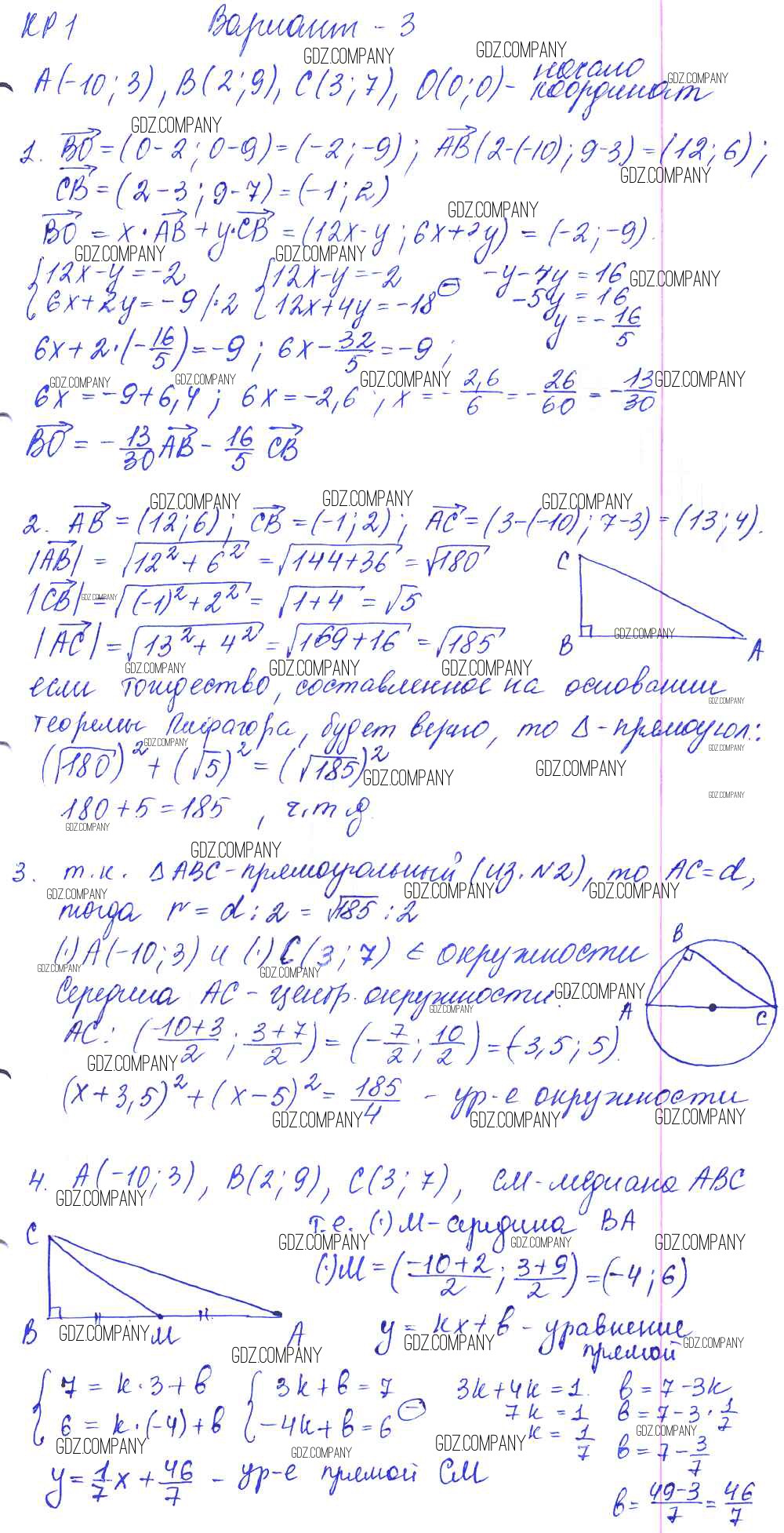
Здесь готовые ответы по Геометрии за 9 (девятый) класс от Журавлев, Малышева, Свентковский Контрольные и самостоятельные работы УМК (издательство: Экзамен от 2016 г.) № 3