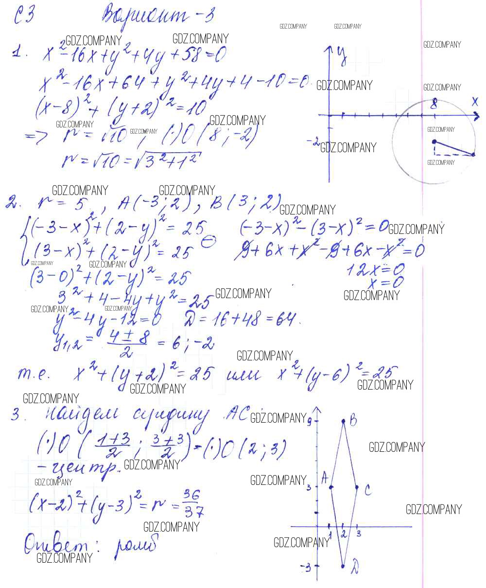
Решебник
самостоятельные работы / к учебнику Атанасяна / ср-3. вариант / 3

Здесь готовые ответы по Геометрии за 9 (девятый) класс от Журавлев, Малышева, Свентковский Контрольные и самостоятельные работы УМК (издательство: Экзамен от 2016 г.) № 3