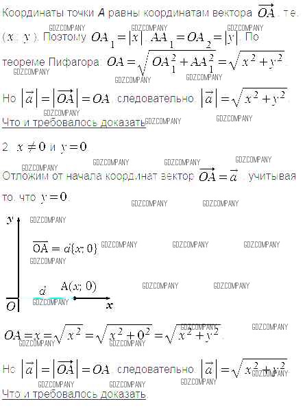
Решебник №1
вопрос для повторения / глава 10 / 12

Решебник №5
вопрос для повторения / глава 10 / 12

Решебник №6
вопрос для повторения / глава 10 / 12



Здесь готовые ответы по Геометрии за 9 (седьмой) класс от Атанасян, Бутузов, Кадомцев Учебник (издательство: Просвещение от 2010 г.) № 12