Решебник №1
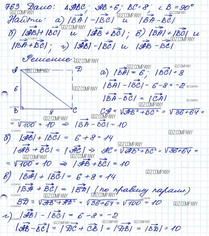
задача / 763

Решебник №2
задача / 763

Решебник №3
задача / 763

Решебник №5
задача / 763


Решебник №6
задача / 763







Здесь готовые ответы по Геометрии за 9 (седьмой) класс от Атанасян, Бутузов, Кадомцев Учебник (издательство: Просвещение от 2010 г.) № 763