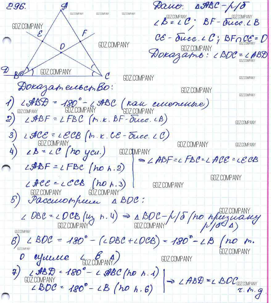
Решебник №1
задача / 296

Решебник №2
задача / 296

Решебник №3
задача / 296

Решебник №6
задача / 296



Здесь готовые ответы по Геометрии за 9 (седьмой) класс от Атанасян, Бутузов, Кадомцев Учебник (издательство: Просвещение от 2010 г.) № 296