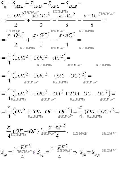
Решебник №1
задача / 1289

Решебник №2
задача / 1289

Решебник №5
задача / 1289

Решебник №6
задача / 1289





Здесь готовые ответы по Геометрии за 9 (седьмой) класс от Атанасян, Бутузов, Кадомцев Учебник (издательство: Просвещение от 2010 г.) № 1289