Решебник №1
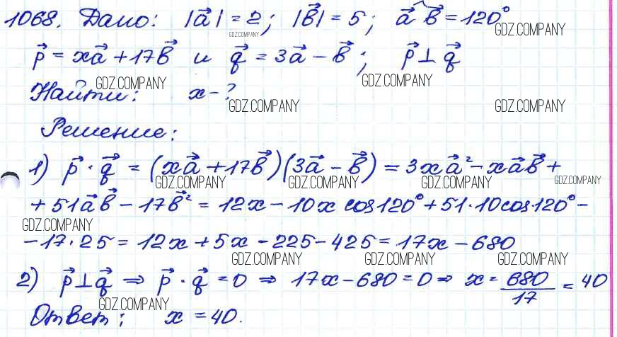
задача / 1068

Решебник №2
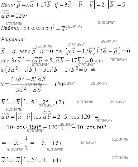
задача / 1068

Решебник №3
задача / 1068

Решебник №4
задача / 1068

Решебник №5
задача / 1068

Решебник №6
задача / 1068



Здесь готовые ответы по Геометрии за 9 (седьмой) класс от Атанасян, Бутузов, Кадомцев Учебник (издательство: Просвещение от 2010 г.) № 1068