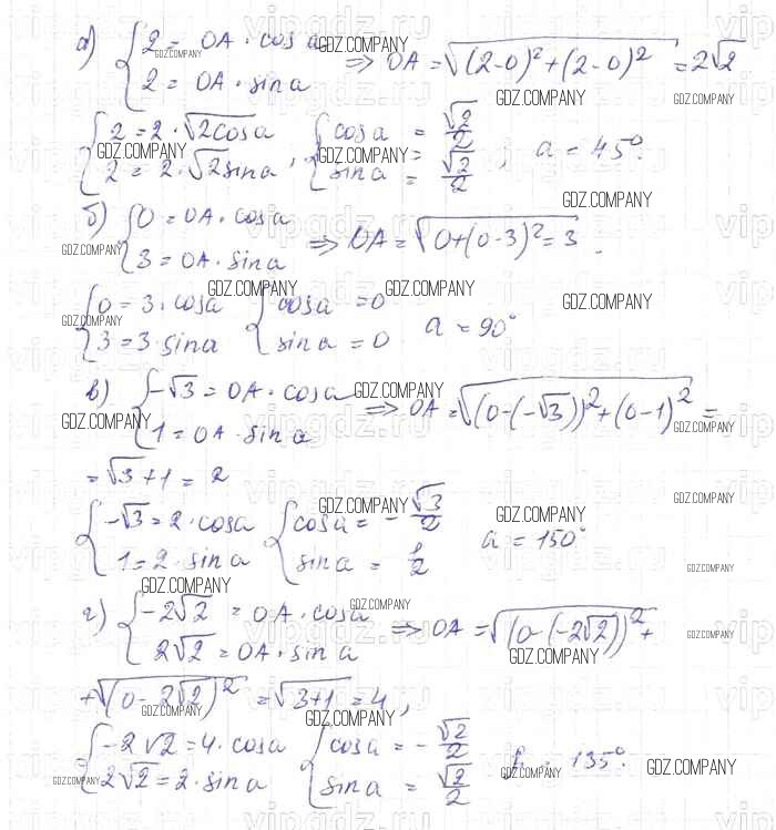
Решебник №1
задача / 1019

Решебник №2
задача / 1019

Решебник №3
задача / 1019

Решебник №4
задача / 1019

Решебник №5
задача / 1019


Решебник №6
задача / 1019




Здесь готовые ответы по Геометрии за 9 (седьмой) класс от Атанасян, Бутузов, Кадомцев Учебник (издательство: Просвещение от 2010 г.) № 1019