Решебник №1
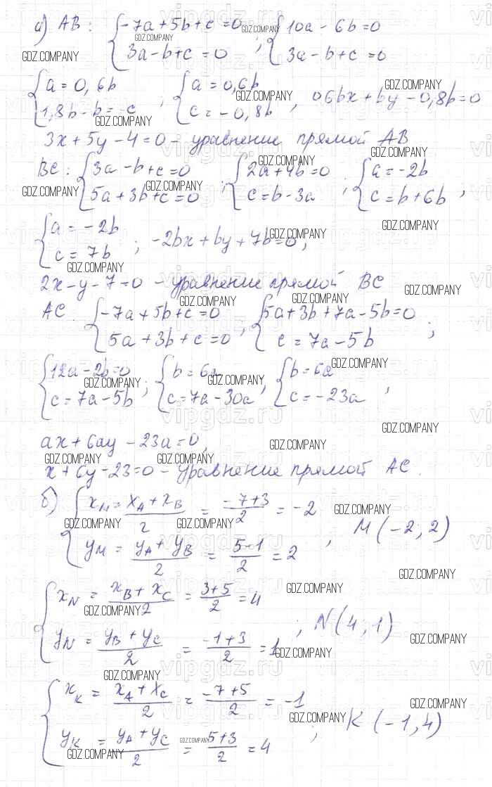
задача / 1003

Решебник №2
задача / 1003

Решебник №3
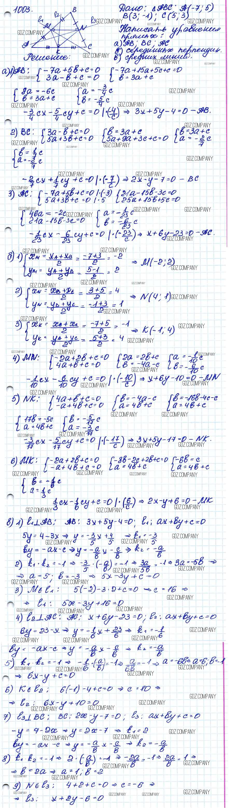
задача / 1003

Решебник №4
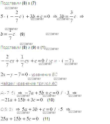
задача / 1003


Решебник №5
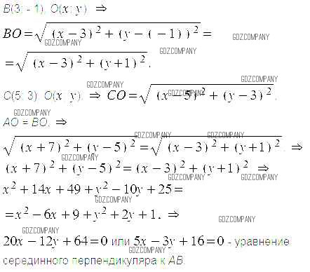
задача / 1003




Решебник №6
задача / 1003














Здесь готовые ответы по Геометрии за 9 (седьмой) класс от Атанасян, Бутузов, Кадомцев Учебник (издательство: Просвещение от 2010 г.) № 1003