Решебник №1
задача / 46
Решебник №2
задача / 46
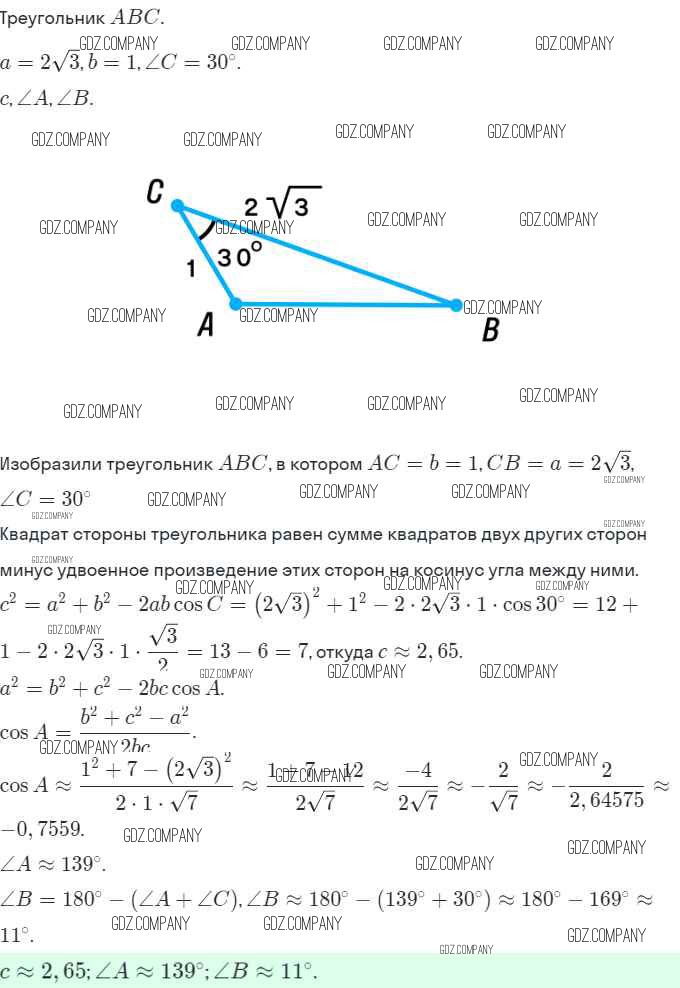
Здесь готовые ответы по Геометрии за 9 (девятый) класс от Атанасян, Бутузов, Глазков, Юдина Рабочая тетрадь (издательство: Просвещение от 2014 г.) № 46