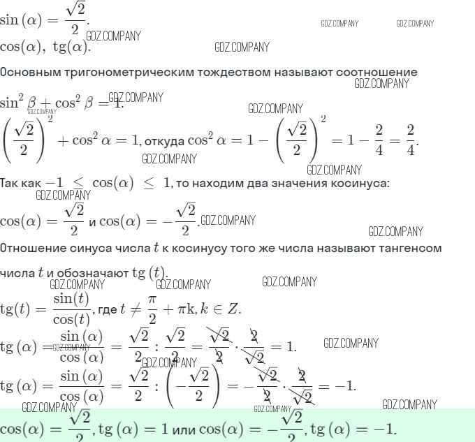
Решебник №1
задача / 34
Решебник №2
задача / 34
Здесь готовые ответы по Геометрии за 9 (девятый) класс от Атанасян, Бутузов, Глазков, Юдина Рабочая тетрадь (издательство: Просвещение от 2014 г.) № 34