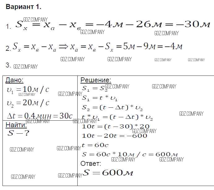
Решебник
самостоятельная работа / ср-3. вариант / 1
 
                                
                        Здесь готовые ответы по Физике за 9 (девятый) класс от Громцева Контрольные и самостоятельные работы УМК  (издательство: Экзамен от 2017 г.) № 1
                
                    