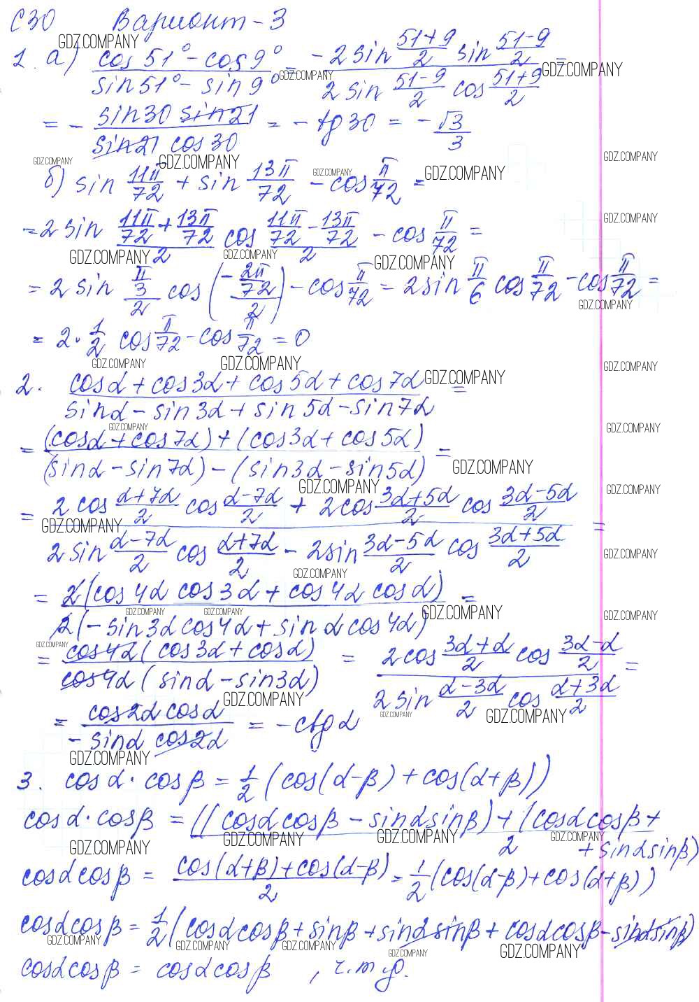
Решебник
самостоятельная работа / с-30 / вариант №3

Здесь готовые ответы по Алгебре за 9 (девятый) класс от Журавлев, Малышева, Свентковский Контрольные и самостоятельные работы УМК (издательство: Экзамен от 2016 г.) № Вариант №3