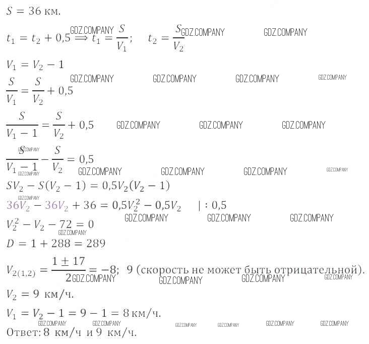
Решебник №1
повторение / задачи на составление уравнений или систем уравнений / 33

Решебник №2
повторение / задачи на составление уравнений или систем уравнений / 33

Здесь готовые ответы по Алгебре за 9 (девятый) класс от Мордкович, Александрова, Мишустина, Тульчинская, Семёнов Задачник (издательство: Мнемозина от 2010 г.) № 33