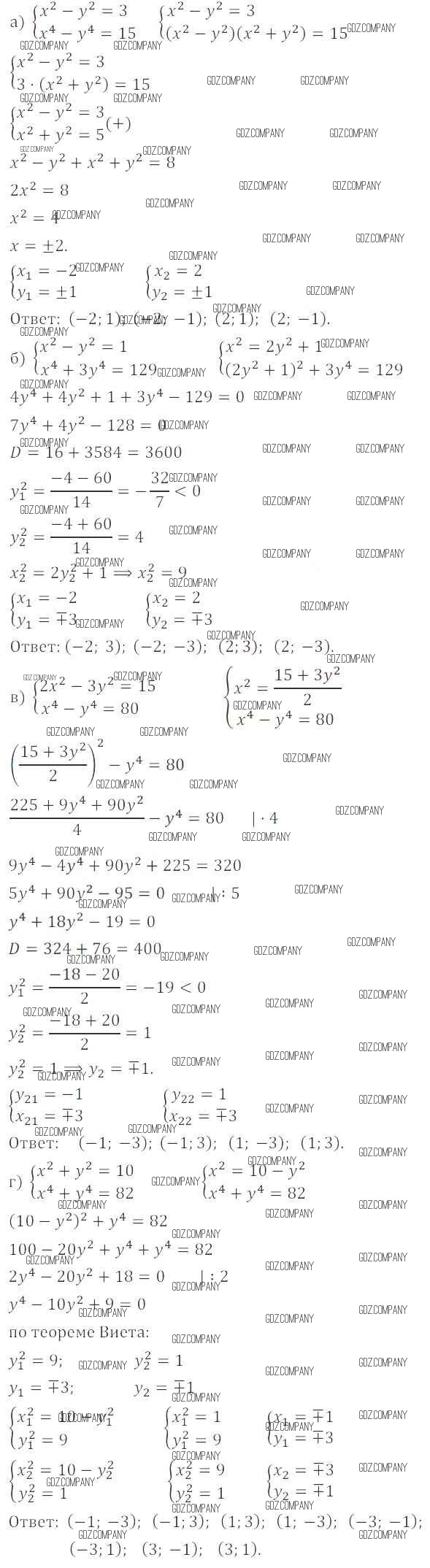
Решебник №1
глава 2 / § 6 / 12

Решебник №2
глава 2 / § 6 / 12

Здесь готовые ответы по Алгебре за 9 (девятый) класс от Мордкович, Александрова, Мишустина, Тульчинская, Семёнов Задачник (издательство: Мнемозина от 2010 г.) № 12