Решебник №1
8 класс / итоговый тест












Решебник №2
8 класс / итоговый тест

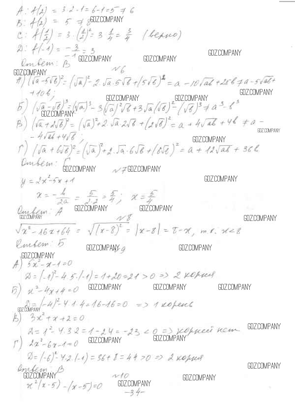
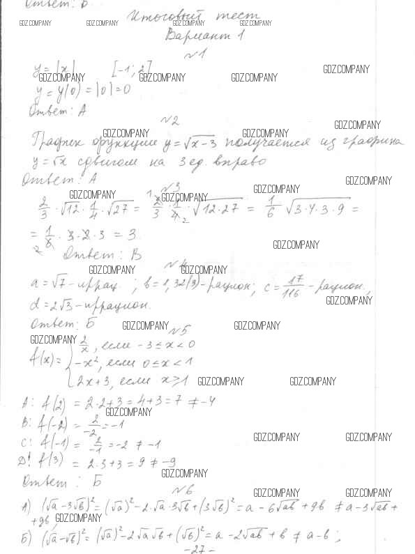
Здесь готовые ответы по Алгебре за 9 (седьмой) класс от Мордкович, Тульчинкая Тесты Базовый уровень (издательство: Мнемозина от 2013 г.) № Итоговый тест Базовый уровень