Решебник
повторение / уравнения и неравенства с одной переменной / 6

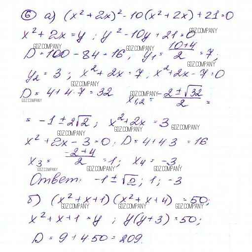
Здесь готовые ответы по Алгебре за 9 (девятый) класс от Макарычев, Миндюк, Крайнева Дидактические материалы (издательство: Просвещение от 2015 г.) № 6