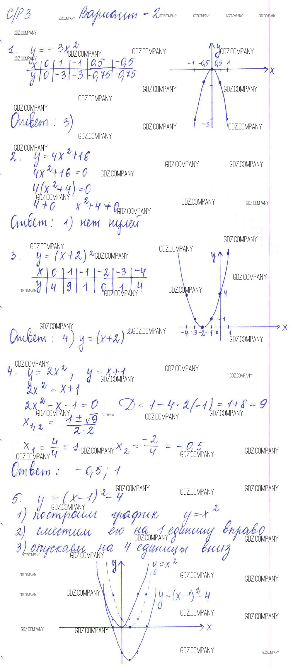
Решебник
самостоятельная работа / ср-3 / вариант 2

Здесь готовые ответы по Алгебре за 9 (девятый) класс от Глазков, Варшавский, Гаиашвили Самостоятельные и контрольные работы УМК (издательство: Экзамен от 2013 г.) № вариант 2