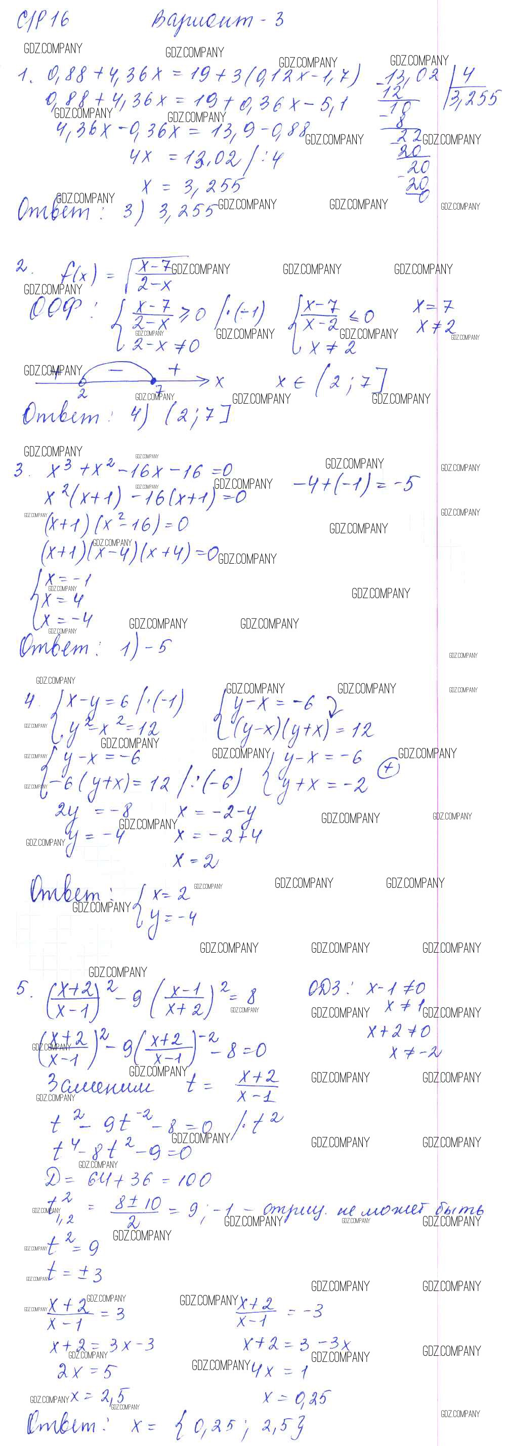
Решебник
самостоятельная работа / ср-16 / вариант 3

Здесь готовые ответы по Алгебре за 9 (девятый) класс от Глазков, Варшавский, Гаиашвили Самостоятельные и контрольные работы УМК (издательство: Экзамен от 2013 г.) № вариант 3