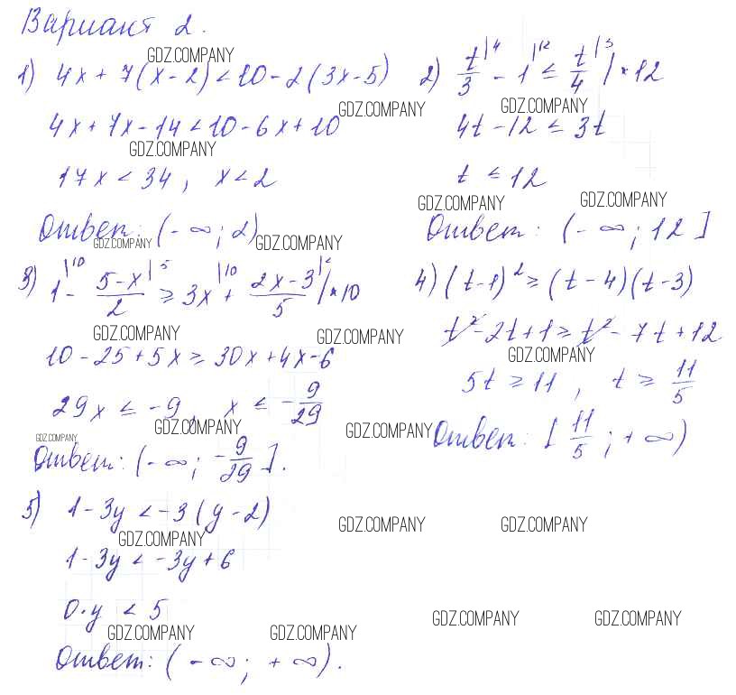
Решебник №1
проверочная работа / п-9 / вариант 2


Решебник №2
проверочная работа / п-9 / вариант 2

Здесь готовые ответы по Алгебре за 9 (девятый) класс от Евстафьева, Карп Дидактические материалы (издательство: Просвещение от 2017 г.) № Вариант 2