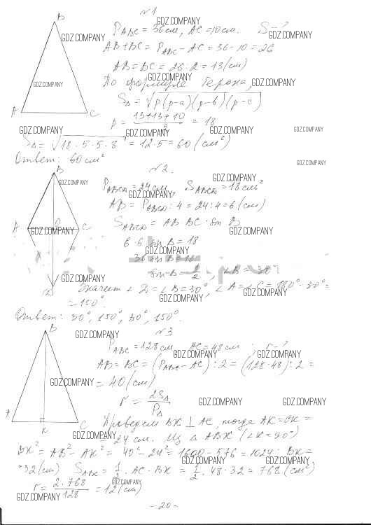
Решебник
геометрия / к учебнику Погорелова / контрольная работа / кр-4. вариант / Б1


Здесь готовые ответы по Алгебре за 9 (девятый) класс от Ершова, Голобородько Самостоятельные и контрольные работы (издательство: Илекса от 2015 г.) № Б1