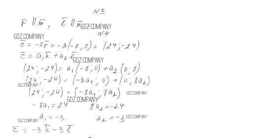
Решебник
геометрия / к учебнику Атанасяна / самостоятельная работа / ср-1. вариант / А2


Здесь готовые ответы по Алгебре за 9 (девятый) класс от Ершова, Голобородько Самостоятельные и контрольные работы (издательство: Илекса от 2015 г.) № А2