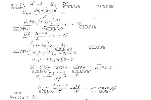
Решебник №1
тема 5 / ср-34 / вариант 3


Решебник №2
тема 5 / ср-34 / вариант 3

Здесь готовые ответы по Алгебре за 9 (девятый) класс от Александрова Самостоятельные работы УМК Базовый уровень (издательство: Мнемозина от 2016 г.) № вариант 3 Базовый уровень