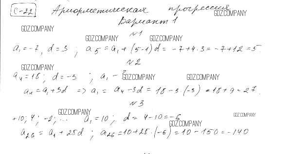
Решебник №1
тема 4 / ср-22 / вариант 1

Решебник №2
тема 4 / ср-22 / вариант 1

Здесь готовые ответы по Алгебре за 9 (девятый) класс от Александрова Самостоятельные работы УМК Базовый уровень (издательство: Мнемозина от 2016 г.) № вариант 1 Базовый уровень