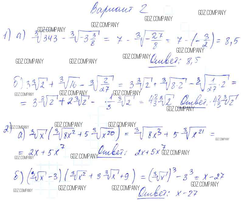
Решебник №1
тема 3 / ср-18 / вариант 2

Решебник №2
тема 3 / ср-18 / вариант 2

Здесь готовые ответы по Алгебре за 9 (девятый) класс от Александрова Самостоятельные работы УМК Базовый уровень (издательство: Мнемозина от 2016 г.) № вариант 2 Базовый уровень