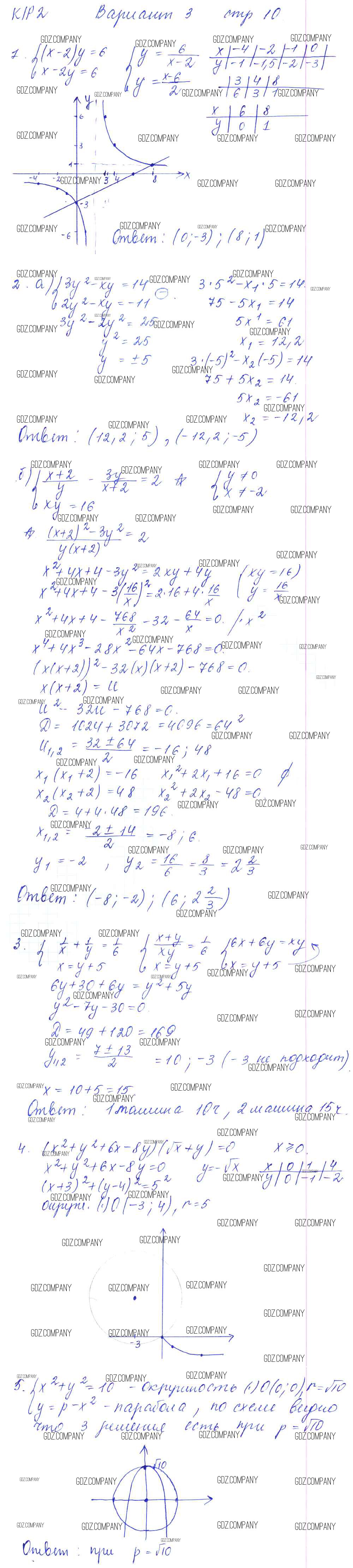
Решебник №1
кр-2 / вариант №3




Решебник №2
кр-2 / вариант №3

Решебник №3
кр-2 / вариант №3

Здесь готовые ответы по Алгебре за 9 (девятый) класс от Александрова Контрольные работы Базовый уровень (издательство: Мнемозина от 2016 г.) № вариант №3 Базовый уровень