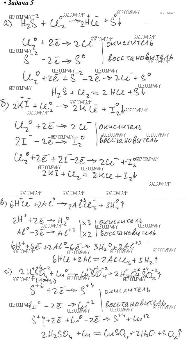
Решебник №1
практическая работа / пр-9 / 5

Решебник №2
практическая работа / пр-9 / 5

Решебник №3
практическая работа / пр-9 / 5

Здесь готовые ответы по Химии за 8 (восьмой) класс от Габриелян Учебник Вертикаль (издательство: Дрофа от 2019 г.) № 5