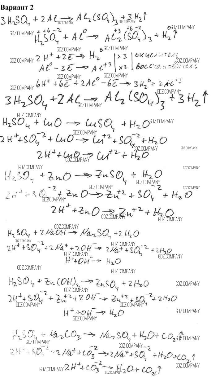
Решебник №1
практическая работа / пр-8 / вариант 2 / 1

Решебник №2
практическая работа / пр-8 / вариант 2 / 1


Решебник №3
практическая работа / пр-8 / вариант 2 / 1

Здесь готовые ответы по Химии за 8 (восьмой) класс от Габриелян Учебник Вертикаль (издательство: Дрофа от 2019 г.) № 1