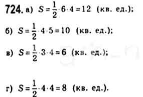
Решебник №1
глава 4 / § 22 / 724
Решебник №2
глава 4 / § 22 / 724
Здесь готовые ответы по Геометрии за 8 (восьмой) класс от Мерзляк, Полонский, Якир Учебник Алгоритм успеха (издательство: Вентана-граф от 2015 г.) № 724